题目描述
找到两个单链表相交的起始节点。
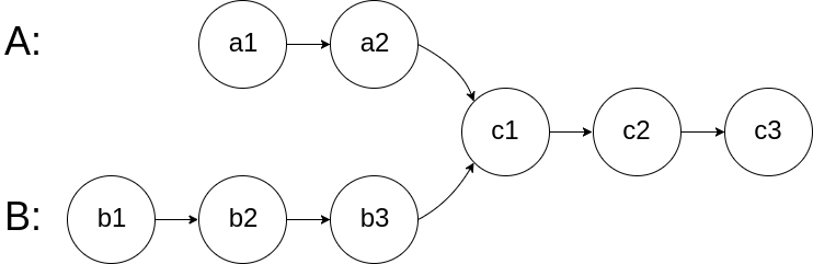
如下面的两个链表:

在节点 c1 开始相交。
注意:
如果两个链表没有交点,返回 null.
在返回结果后,两个链表仍须保持原有的结构。
可假定整个链表结构中没有循环。
程序尽量满足 O(n) 时间复杂度,且仅用 O(1) 内存。
复杂度分析
双指针法
核心一点就是得知道,如果不存在环,两个链表相交,那么他们的尾节点一定是相同的。
show code
public ListNode getIntersectionNode(ListNode headA, ListNode headB) {
if(headA==null || headB==null){
return null;
}
ListNode aTail=headA;
ListNode bTail=headB;
int alength=1;
int blength=1;
while(aTail.next!=null){
aTail = aTail.next;
alength++;
}
while(bTail.next!=null){
bTail = bTail.next;
blength++;
}
if(!aTail.equals(bTail)){//判断两个链尾是否在是同一个节点,如果相交一定是同一个节点
return null;
}
ListNode shortPonit = headA;
ListNode longPonit = headB;
int sub =Math.abs(alength-blength);
if(alength>blength){
shortPonit = headB;
longPonit=headA;
}
while(sub>0){//长链表的指针先走sub步,保证未遍历的长度和短链表相等
longPonit=longPonit.next;
sub--;
}
while(!longPonit.equals(shortPonit)){//移动到第一个相等的节点,即为交点
longPonit = longPonit.next;
shortPonit=shortPonit.next;
}
return shortPonit;
}
上面代码比较直观,但是略显啰嗦。
可以换个方式消除长度差:拼接两链表。
如图,两指针分别先后遍历两链表第一个相等的点就是相交点。

show code
public ListNode getIntersectionNode(ListNode headA, ListNode headB) {
if(headA == null || headB == null) return null;
ListNode apointer = headA;
ListNode bpointer = headB;
while(apointer != bpointer){
apointer = (apointer == null ? headB : apointer.next);
bpointer = (bpointer == null ? headA : bpointer.next);
}
return apointer;
}
时间复杂度 : O(m+n)
空间复杂度 : O(1)
其他解法
问题转化为判断一个链表是否有环问题
这个问题我们可以转换为另一个等价问题:如何判断一个单链表是否有环,若有环,找出环的入口?
如何转化?
先遍历第一个链表到它的尾部,然后将尾部的next指针指向第二个链表(尾部指针的next本来指向的是null)。这样两个链表就合成了一个链表。若该链表有环,则原两个链表一定相交。否则,不相交。

暴力法
对链表A中的每一个结点,遍历整个链表B并检查链表B中是否存在结点相同。
复杂度分析
时间复杂度 : (mn)
空间复杂度 : O(1)
哈希表法
遍历链表 A 并将每个结点的地址/引用存储在哈希表中。然后检查链表B中的每一个结点 是否在哈希表中。若在,则为相交结点。
复杂度分析
时间复杂度 : O(m+n)
空间复杂度 : O(m)或 O(n)